W tej części naszych powtórek skupimy się przede wszystkim na równaniach i nierównościach. Wrócimy też do wyrażeń algebraicznych w kontekście rozkładu wielomianów, niezbędnego nam do rozwiązywania równań wielomianowych. — Równania i nierówności nie są tematem, który budziłby w uczniach niepokój. Jednak diabeł tkwi w szczegółach, a niejednokrotnie umiejętności dotyczące tego działu można by podsumować słowami „wydaje mi się, że wiem”. Innymi słowy, większość uczniów co nieco kojarzy i czuje się w temacie dość pewnie. Pamiętajmy jednak, że zadania dotyczące równań i nierówności to zazwyczaj zadania zamknięte, a odpowiedzi się tak skonstruowane, żeby „złapać” ucznia na najbardziej typowych błędach. Bardzo często różnica między „wydaje mi się, że wiem” a „wiem” jest taka, jak między zerem a jedynką. Warto więc zainwestować czas, by wiedzę na ten temat dobrze sobie poukładać, bo małym nakładem możemy zdobyć kilka dodatkowych punktów — zachęca Dobrawa Szlachcikowska.
Przykładowo w zeszłym roku szkolnym na egzaminie podstawowym z matematyki były aż cztery zadania z równań i nierówności oraz dwa z układów równań. Łącznie za zadania te można było zdobyć aż 9 punktów.
RÓWNANIA
Jakie równania uczniowie mogą spotkać na maturze i które mogą być dla nich problematyczne?
— Na maturze podstawowej uczniów obowiązują równania liniowe, kwadratowe, proste równania wymierne i równania wielomianowe — odpowiada Dobrawa.
Zacznijmy od tych ostatnich, bo wymagają dłuższego komentarza. Tego typu równania można było znaleźć praktycznie w każdym arkuszu przed 2015 rokiem.
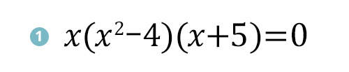
Równania wielomianowe, które uczeń może spotkać na maturze podstawowej z matematyki, to:
- równania wielomianowe w postaci iloczynowej,
- równania, które można sprowadzić do postaci iloczynowej za pomocą wyłączenia wspólnego czynnika przed nawias,
- równania, które można sprowadzić do postaci iloczynowej metodą grupowania wyrazów.
Sprawdź, czy potrafisz rozwiązać równania należące do powyższych kategorii. Rozwiąż poniższe, a więcej przykładów oraz rozwiązania znajdziesz w załączonym pliku
PDF oraz w linkach na końcu artykułu.


Jeśli nie pamiętasz jak rozwiązuje się równania wielomianowe, przypomnij sobie ten temat oglądając filmy Pi-stacji:
- Wprowadzenie do równań wielomianowych #1 [ Równania wielomianowe ]
- Rozkład wielomianów na czynniki − grupowanie wyrazów #3 [ Równania wielomianowe ]
Czy coś jeszcze w temacie równań może zaskoczyć maturzystę?
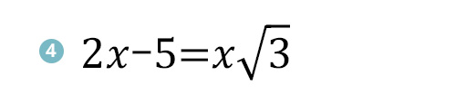
Równania kwadratowe to jeden z ulubionych tematów uczniów. Małą pułapką mogą być natomiast pozornie banalne
równania liniowe. Są omawiane jeszcze w szkole podstawowej, więc jeśli pojawiają się na maturze, to z pewnymi utrudnieniami w postaci ułamków lub pierwiastków. Szczególnie te drugie mogą budzić konsternację. Czy u Ciebie także? Sprawdź!
Rozwiąż równanie (rozwiązanie na końcu artykułu):

Możesz także powtórzyć równania liniowe z Pi-stacją.
- Rozwiązywanie równań pierwszego stopnia z jedną niewiadomą #1 [ Równania i nierówności liniowe ]
Jeśli potrzebujesz bardziej gruntownej powtórki obowiązujących na maturze równań, obejrzyj nagranie webinaru dotyczącego tego zagadnienia. Znajdziesz tam wszystkie typy równań, z wyjątkiem wspomnianych wyżej równań wielomianowych.
- #2 Przygotowanie do matury 2022 z matematyki (poziom podstawowy)
NIERÓWNOŚCI
O Ile
równania kwadratowe zwykle nie sprawiają problemów, o tyle próba rozwiązania nierówności często kończy się niepowodzeniem. Dlaczego tak się dzieje? Zapytaliśmy nauczycielkę.
- Nierówności kwadratowe obliczamy dwustopniowo. Pierwszy krok to znalezienie miejsc zerowych. Drugi – to odczytanie odpowiednich przedziałów lub punktów. I to właśnie z drugim krokiem są największe problemy, choć i w pierwszym jest kilka pułapek — mówi Dobrawa Szlachcikowska. — Kiedy nierówność jest zupełna, czyli żaden ze współczynników nie jest równy zeru (np. x²+2x–3>0), to naturalnym krokiem jest obliczenie delty i miejsc zerowych, jeśli istnieją. Problem pojawia się przy nierównościach niezupełnych, zwłaszcza, gdy b=0. Przykładowo, nierówność x²–4<0 aż prosi się o przeniesienie czwórki i doprowadzenie do postaci x²<4, z którą uczniowie nie za bardzo wiedzą, co zrobić. Jak tego uniknąć? Skoro pierwszym krokiem rozwiązania nierówności jest obliczenie miejsc zerowych, warto ten krok zaznaczyć, zapisując równanie zamiast nierówności. 
Po obliczeniu miejsc zerowych wykonujemy poglądowy rysunek paraboli (w tym przypadku a>0, więc parabola ma ramiona skierowane ku górze) i odczytujemy przedział, w którym oryginalna nierówność jest spełniona, czyli w którym wartości funkcji są mniejsze od zera – czyli przedział, w którym parabola znajduje się pod osią x. W tym przypadku jest to przedział obustronnie otwarty od –2 do 2.
— Drugim problemem są nierówności, w których delta jest ujemna. Często jest ona interpretowana jako brak rozwiązań nierówności – podobnie, jak ma to miejsce w przypadku równań. Musimy jednak pamiętać, że ujemna delta oznacza jedynie brak miejsc zerowych — tłumaczy Dobrawa.
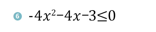
Teraz Ty przetestuj się na kilku nierównościach kwadratowych (rozwiązania na końcu artykułu):

Podobnie jak w przypadku równań proponujemy obejrzenie nagrania webinaru na temat nierówności:
- #3 Przygotowanie do matury 2022 z matematyki (poziom podstawowy)
W kolejnym artykule zmierzymy się z działem Funkcje. Przyjrzymy się wymaganiom i po raz kolejny pokażemy, na co należy zwrócić szczególną uwagę podczas powtórek. Wspólne powtórki dla maturzystów, przygotowane przez Librus i Pi-stację, będą trwały aż do kwietnia. W poniedziałek, 8 kwietnia, na stronie
https://pistacja.tv/egzaminy opublikujemy bezpłatny, autorski, próbny arkusz maturalny. Zobacz, jak wyglądały nasze propozycje zadań egzaminacyjnych z ubiegłych latach:
link. 
Ćwiczenia interaktywne do działu „Równania i nierówności” na portalu pistacja.tv: Rozwiązania zadań z artykułu

