Tym razem bierzemy na warsztat wyrażenia algebraiczne. Jakie zadania sprawiają ósmoklasistom najwięcej problemów? Dlaczego do tej kategorii należy opis matematyczny sytuacji przedstawionej w tekście? Udzielamy odpowiedzi na to i na inne pytania o iksy i igreki. Wyrażenia algebraiczne są przydatne w codziennym życiu – stanowią uniwersalne narzędzie do opisywania, analizy i rozwiązywania problemów dotyczących różnych dziedzin życia. Planując kilka podróży samochodem, gdy trzeba porównać koszty paliwa, można ułożyć wyrażenie algebraiczne, w którym w miejsce ceny paliwa, dystansu podróży i spalania pojazdu podstawione są zmienne. W zasadzie wszelkie operacje na danych w Excelu, bardziej zaawansowane od prostego zestawienia, wymagają formuł, które są niczym innym jak właśnie wyrażeniami algebraicznymi, gdzie zamiast iksów i igreków występują odwołania do konkretnych komórek czy zakresów. Wyrażenia algebraiczne to śrubki i nity całej matematyki.
WARTOŚĆ LICZBOWA WYRAŻENIA
—
Jedną z najczęściej sprawdzanych na egzaminie umiejętności jest obliczanie wartości liczbowej wyrażenia algebraicznego. W ubiegłych latach takie zadanie poprawnie wykonało tylko 39% uczniów — twierdzi Anna Soliwocka, nauczycielka matematyki i fizyki. —
Obliczanie wartości liczbowej wyrażenia algebraicznego stanowi problem głównie z powodu nieutrwalenia zasad arytmetycznych. Czyli chodzi o uczniów, którzy w dalszym ciągu mają problemy z kolejnością wykonywania działań, a także z działaniami na liczbach całkowitych. Manipulowanie znakami, przy braku uważności, łatwo może doprowadzić do błędów rachunkowych.
Zastanawiasz się, czy to potrafisz? Sprawdź! (Rozwiązania na końcu artykułu. Więcej ćwiczeń w załączonym
pliku PDF oraz na
pistacja.tv).

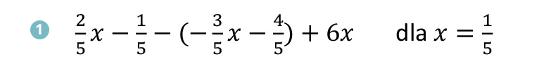
Przykład 1. Oblicz wartość liczbową wyrażenia:

Jeśli masz z tym problem, obejrzyj film Pi-stacji:
- Wartość liczbowa sumy algebraicznej #4 [Sumy algebraiczne]
REDUKCJA WYRAZÓW PODOBNYCH
Kolejny stopień wtajemniczenia to umiejętność wykonywania działań na wyrażeniach algebraicznych. —
Przy dodawaniu lub odejmowaniu wyrażeń algebraicznych uczniowie czasem popełniają błędy, szczególnie jeśli nie zastosują prawidłowych reguł redukcji wyrazów podobnych. Prowadzi to do niepoprawnych wyników i utrudnia rozumienie równań. — mówi Anna Soliwocka.
Sprawdź, czy to rozumiesz.
Przykład 2. Wykonaj odejmowanie i zredukuj wyrazy podobne:

Przykład 3. Dokończ obliczenia:

Jeśli nie wszystko ci się udało, obejrzyj filmy Pi-stacji:
- Dodawanie i odejmowanie sum algebraicznych #3 [Sumy algebraiczne]
- Mnożenie sumy algebraicznej przez liczbę #5 [Sumy algebraiczne]
- Działania na sumach algebraicznych #6 [Sumy algebraiczne]
- Mnożenie jednomianu przez sumę algebraiczną #1 [Sumy algebraiczne - działania]
OPIS MATEMATYCZNY SYTUACJI
Jak pisaliśmy na wstępie wyrażenia algebraiczne służą do rozwiązywania problemów w różnych dziedzinach matematyki i nauk ścisłych. —
Bardzo dużą grupą trudności, z jakimi uczniowie mogą się spotkać, jest zrozumienie, co oznaczają poszczególne symbole, jakie mają one znaczenie w kontekście zadania matematycznego. Dzieje się tak, gdy uczeń musi skorzystać ze wzoru, w którym występują oznaczenia literowe, lub gdy ma opisać taki wzór słowami. — komentuje Anna Soliwocka. —
Zadania tego typu w ostatnich latach wypadły na egzaminie ósmoklasisty na poziomie 39%.
Sprawdź, czy ten problem dotyczy także ciebie. Spróbuj rozwiązać poniższe zadania.
Przykład 4. Z prostokątnego arkusza kartonu o wymiarach 20cm × 30cm odcięto w rogach 4 jednakowe kwadraty. Pole powstałej figury można zapisać jako (wybierz poprawną odpowiedź):

Przykład 5. 
Przykład 6. Na rysunku przedstawiono kształt kostki brukowej oraz sposób jej układania. Zapisz długości obu części kostki, a następnie zapisz w postaci sumy algebraicznej długość ścieżki ułożonej w pokazany sposób z
n kostek.

Uzupełnij brakujące wyrażenia:
Długość części
x wynosi …
Długość części
y wynosi …
Długość ścieżki z
n kostek wynosi …
Jeśli miałeś trudności z zadaniami przypomnij sobie ten temat oglądając filmy Pi-stacji:
- Sumy algebraiczne - zadania tekstowe #5 [Sumy algebraiczne - działania]
- Poszukiwanie zależności liczbowych #6 [Sumy algebraiczne - działania]
- Poszukiwanie zależności geometrycznych #7 [Sumy algebraiczne - działania]
Ćwiczenia interaktywne do działu "Wyrażenia algebraiczne" na portalu pistacja.tv
